Assistance et conseil :

03681 / 454266-20
Lun-Jeu 06:30 - 16:00
Ven 06:30 - 12:00
Contact
Livraison rapide
Contrôle, maintenance & réparation
Plus de 15 000 clients nous font confiance
Paiement sur facture
Appelez-nous : 03681 454266-20
Recherche...

H-Poutre / Poutre transversale réglable

H-Traverse / Quertraverse / Traverse kaufen - Lastaufnahmemittel
H-Traverse / Quertraverse / Traverse kaufen - Lastaufnahmemittel
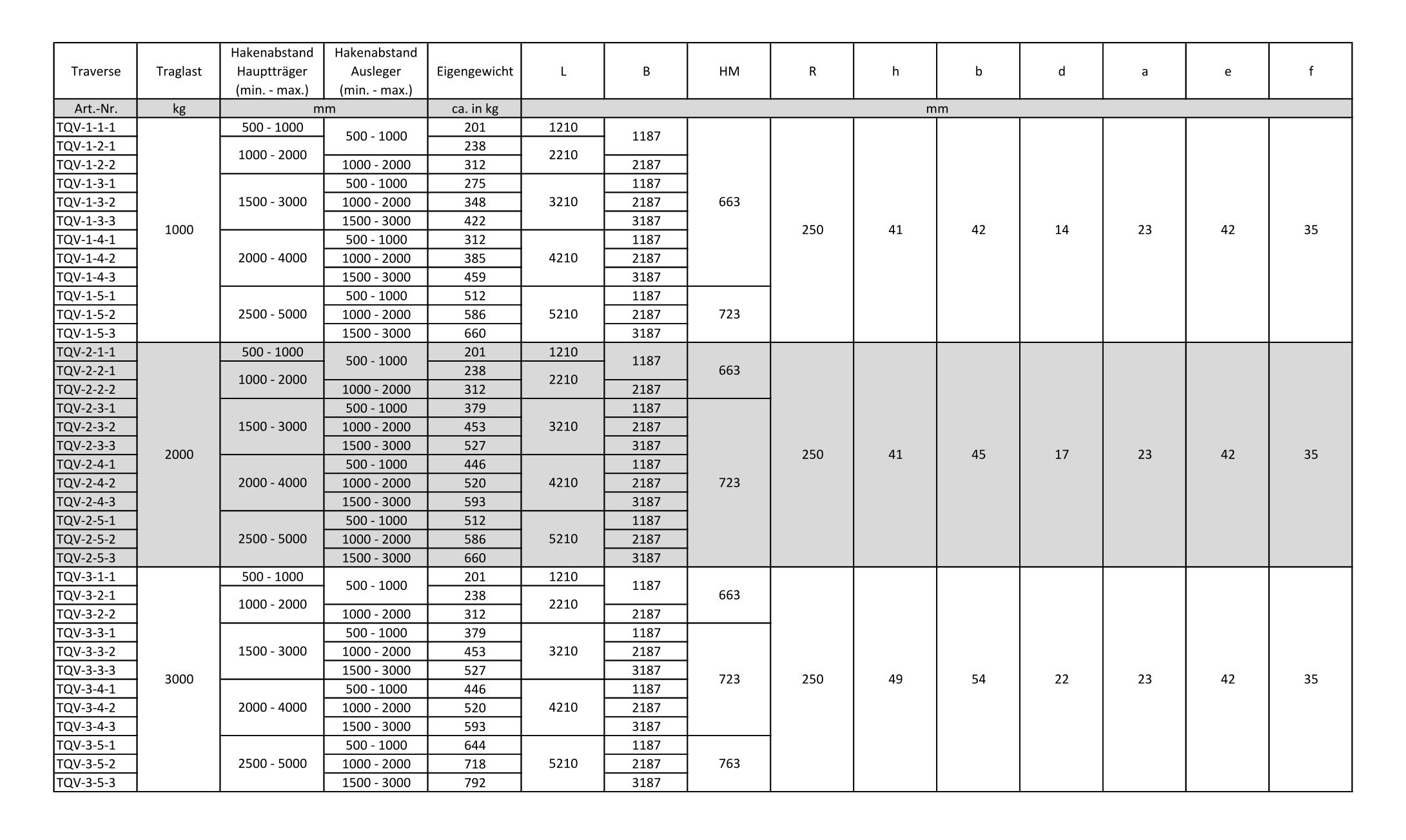
H-Traverse verstellbar Technische Daten 1000-3000kg
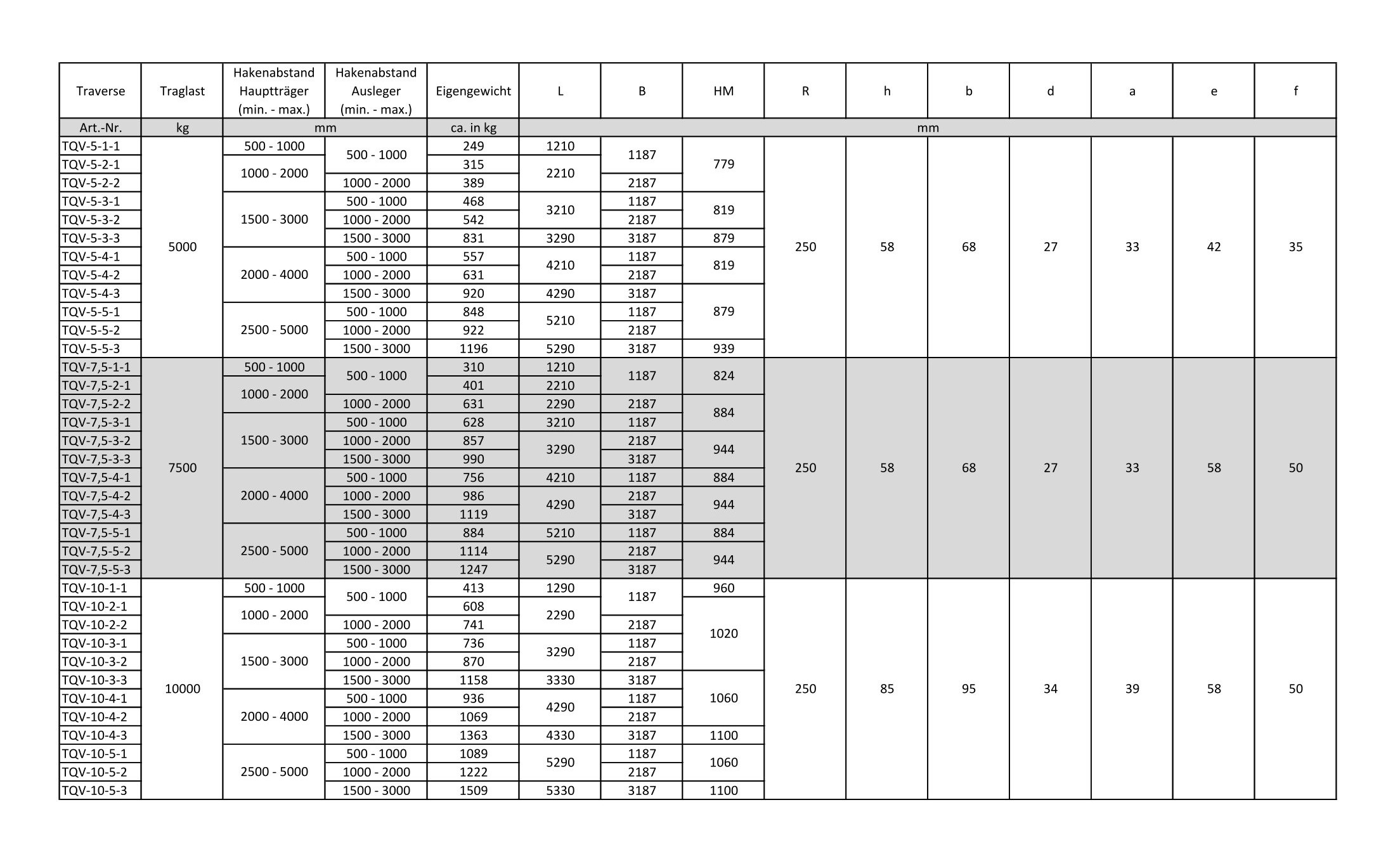
H-Traverse verstellbar Technische Daten 5000-10000kg
H-Traverse / Quertraverse verstellbar - Traversen
Gewicht: ca. 922,00 kg

Art.-Nr.: TQV-5-5-2

H-Poutre / Poutre transversale réglable

4.563,00 €*

Contenu : 1 pièce

* Prix HT, plus frais de livraison

Disponible, 3-4 Wochen
Numéro d'article : TQV-5-5-2
Nos modes de paiement :
Virement Facture Carte de crédit
Partager ce produit :

Informations produit

Traverse H réglable / Traverse transversale – Flexible, robuste et fabriquée sur mesure

La traverse H réglable, également connue sous le nom de traverse transversale ou traverse à 4 points, est la solution idéale pour le transport de charges en toute sécurité et de manière flexible avec la grue. Grâce à sa construction réfléchie composée d'une poutre transversale avec suspension centrale et de deux bras réglables avec crochets à tourillons, elle offre une adaptabilité maximale tout en garantissant une capacité de charge maximale.

Vos avantages en un coup d'œil :

  • Espacement des crochets réglable individuellement – pour une répartition optimale des charges et une adaptation à différentes géométries

  • Disponible avec des capacités de charge allant jusqu'à 10 t – choix selon vos besoins dans la boutique en ligne

  • Suspension centrale ou double – pour une compatibilité maximale avec des crochets simples ou doubles

  • Protection de surface de haute qualité – peinture durable en RAL 1003 jaune signal

  • Fabrication sur mesure en Allemagne – 100 % fabrication sur le site de Suhl (Thuringe)

Détails techniques et personnalisation :

  • Capacité de charge et dimensions au choix : Dans la boutique, vous pouvez facilement sélectionner la capacité de charge requise ainsi que la longueur des traverses transversales et longitudinales.

  • Réglabilité : L'espacement des crochets peut être réduit manuellement à environ la moitié de la largeur – idéal pour des applications variables.

  • Suspension centrale par crochet simple ou alternativement avec un chaînage (également disponible chez nous).

  • Ajustements individuels possibles : Nous créons avant la fabrication un plan de construction pour approbation – vous obtenez ainsi exactement la traverse dont vous avez besoin.

Sécurité & qualité :

Nos traverses H / traverses transversales sont fabriquées selon la norme DIN EN 13155 et sont conçues pour jusqu'à 20 000 cycles de charge. Elles respectent la réglementation sur la sécurité au travail (BetrSichV) ainsi que la directive européenne sur les machines. Chaque traverse est livrée avec une plaque signalétique, un marquage CE, un manuel d'utilisation , une déclaration de conformité CE et un carnet de contrôle.

Remarque : En tant que solution sur mesure, la traverse est exclue de tout échange.

Contrôle régulier & service :

En tant que moyen de levage, la traverse H est soumise à un contrôle annuel conformément aux règlements DGUV 109-017. Nos experts de SHT Suhler Hebezeugtechnik GmbH vous offrent ce service directement – tout comme le contrôle d'autres équipements de travail tels que des échelles, des portes ou des moyens de levage.

Accessoires complémentaires et autres types de traverses :

En plus de la traverse transversale réglable, nous vous proposons une large gamme d'autres produits :

  • Traverses de poutre & traverses de poutre réglables

  • Traverses Big Bag (également avec centre de gravité abaissé)

  • Crochets en C / crochets à bobine

  • Moyens de levage tels que sangles rondes, bandes de levage, chaînes de levage, chaînage, etc.


Notre traverse H réglable, également appelée traverse transversale ou traverse à 4 points, est le parfait investissement pour l'avenir de votre entreprise. Elle offre flexibilité, adaptabilité pour de nombreuses charges, qualité et sécurité, garantissant ainsi un maximum d'utilité et une préservation de la valeur à long terme.

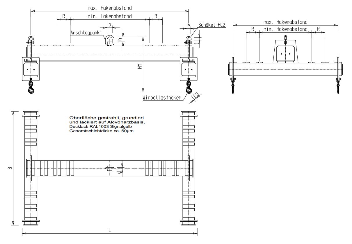
Construction technique de la traverse H / traverse transversale

La traverse H réglable / traverse transversale se compose de

  • d'une poutre transversale, à laquelle la suspension se fait par un œillet de grue
  • de deux bras réglables.
  • Crochets à tourillons aux extrémités extérieures des traverses H ou traverses transversales.

Pour le type réglable, l'espacement peut être ajusté manuellement. En alternative, nous proposons également un type de traverse transversale en construction basse, qui est rigide (c'est-à-dire non réglable) dans chaque capacité de charge.

Dans quels cas faut-il utiliser une traverse H réglable ?

  • Répartition inégale des charges : Permet une distribution uniforme en cas de charges inégales.
  • Flexibilité pour différentes charges : Adaptable pour différentes tailles et formes de charges.
  • Espaces restreints : Utile dans des situations avec un espace limité pour le levage.
  • Levées de précision : Offre un contrôle plus précis sur le positionnement de la charge.
  • Suspensions multipoints : Permet l'utilisation de plusieurs points de suspension pour la stabilité ou l'alignement.
  • Conditions de levage changeantes : Offre une adaptabilité générale dans diverses situations de levage.

Pourquoi acheter vos traverses chez SHT Hebezeugshop ?

  • Contrôle total grâce au plan de fabrication : Veuillez noter que pour toutes nos traverses H / traverses transversales / traverses à 4 points - même pour une commande directe dans la boutique - nous établissons rapidement un plan de construction et vous donnons la possibilité d'approuver la fabrication. Vous obtenez ainsi toujours exactement la traverse ou l'accessoire nécessaire que vous souhaitez - et les ajustements des produits à votre environnement individuel et aux données souhaitées ne posent bien sûr aucun problème, dans la limite des possibilités techniques.
  • Flexibilité maximale : Dans les options de la traverse H, vous pouvez dans la boutique de levage choisir la capacité de charge ainsi que les longueurs des traverses transversales et longitudinales (ou bras). La réglabilité des traverses H permet généralement de réduire l'espacement des crochets à environ la moitié de la longueur ou de la largeur. Ainsi, avec les traverses H SHT, vous atteignez une flexibilité maximale. La capacité de charge maximale peut être utilisée dans toutes les positions jusqu'à la capacité de charge maximale spécifiée (SWL = charge de travail sûre).
  • Suspension : La suspension de la traverse H / traverse transversale se fait par un crochet central / œillet de grue (normalement un crochet simple de la grue) ou via un chaînage à deux crochets symétriques sur la traverse transversale. Bien sûr, vous pouvez également commander ces chaînages chez nous pour ce type. Nous pouvons discuter d'autres options de suspension si nécessaire. Nous nous ferons également un plaisir de coordonner la suspension avec vous, par exemple si vous nous communiquez les données de votre crochet (crochet de grue / crochet simple / crochet double) ou le numéro de crochet.
  • Délai de livraison court et qualité Made in Germany : La fabrication se fait exclusivement sur notre propre site à Suhl, en Thuringe. Ainsi, nous pouvons également développer et fabriquer rapidement des traverses de toutes tailles et capacités de charge selon les souhaits des clients. La protection de surface est réalisée par décapage au jet d'acier ainsi qu'une peinture de fond et de finition à base de résine alkydique RAL 1003 jaune signal. La base de calcul des traverses H / traverses transversales est de 20 000 cycles de charge conformément à la norme DIN EN 13155. Une répartition symétrique des charges des traverses transversales est présumée.
  • Normes de sécurité les plus élevées : Chez SHT, nous mettons l'accent sur la sécurité. Nos traverses H et traverses transversales sont fabriquées et testées selon les normes industrielles les plus strictes pour garantir une sécurité maximale à chaque levage.
  • Construction robuste : Fabriquées à partir de matériaux de haute qualité, nos traverses garantissent une longue durée de vie et un entretien minimal. Elles sont conçues pour résister aux conditions les plus difficiles tout en offrant des performances optimales.
  • Conseil et support d'experts : Chez SHT, vous ne recevez pas seulement un produit, mais un conseil et un soutien complets. Notre équipe expérimentée vous aide à choisir la traverse parfaite pour vos besoins spécifiques.

Qu'est-ce qui est encore important ?

Nos traverses H sont des fabrications sur mesure, un retour ou un échange est donc exclu.

Les traverses H que nous proposons respectent la réglementation sur la sécurité au travail (BetrSichV) du 03.02.2015 et la directive européenne sur les machines. L'ensemble de la livraison de la traverse H comprend un manuel d'utilisation, une déclaration de conformité CE et un carnet de contrôle. Le marquage se fait par une plaque signalétique et un marquage CE.

Accessoires variés : Vous obtenez également des accessoires variés - produits chez nous, tels que des bandes de levage, des sangles rondes, des chaînes de levage / chaînes de grue / chaînage, crochets simples, dispositifs de sécurité contre les chutes, sécurisation de la charge, etc. De plus, vous pouvez bien sûr obtenir tout type d'autres traverses, par exemple des traverses de poutre simples, des traverses de poutre réglables, des traverses Big Bag / traverses BigBag en traverses croisées, des traverses Big Bag avec un centre de gravité plus bas, des crochets en C ou des crochets à bobine, etc.

Des questions sur les traverses H réglables ou les traverses transversales ?

Vous recherchez une variante légère de la traverse H ? Peut-être que notre traverse H en alu est faite pour vous.

N'hésitez pas à nous appeler à tout moment ou à nous contacter si vous avez besoin de plus de données / informations / services concernant l'un de nos produits !

0,0
0 Bewertungen

Ce produit n'a pas encore d'avis. Soyez le premier !

Votre avis

×

📦 Frais de port France

Versandbedingungen

SHT liefert jede Warensendung per Spedition oder per Paketdienst. Die Lieferzeit ist abhängig von der Verfügbarkeit der Ware im Lager. Wir versuchen die Versandkosten zu optimieren, diese werden dann ohne Zuschlag an den Kunden weitergegeben.

Zahlungsbedingungen

Da Hebezeuge mehrheitlich von Geschäftskunden erworben werden, sind alle Preise Nettoverkaufspreise. Auf dem Kundenbeleg/Rechnung befinden sich ebenfalls separat ausgeschildert die Nettopreise, zu denen noch die jeweils geltende deutsche gesetzliche Umsatzsteuer kommt.

Die Ware inkl. Versandkosten können gezahlt werden

  • Kauf auf Rechnung (30 Tage Zahlungsziel)
  • Kreditkarte
  • Sofort Überweisung
  • Bancontact
  • giropay
  • SEPA-Lastschrift
  • Apple-Pay
  • Vorkasse

Die in unseren Katalogen, Broschüren, Preislisten, Internetseiten und sonstigen Werbeschriften angeführten Preise gelten als freibleibend, vorbehaltlich Satz- und Druckfehler und verstehen sich wenn nicht anders aufgeführt ab Verkaufsgelände oder Warenlager.

Bitte beachten Sie, dass wir uns bei Erstkäufern, die als Privatpersonen einkaufen, das Recht vorbehalten, Vorkasse als Zahlungsart zu bestimmen. Dies gilt auch dann, wenn im Bestellprozess zunächst 'Kauf auf Rechnung' als Zahlungsmethode ausgewählt wurde.

Sämtliche von uns gelieferte Ware bleibt bis zur vollständigen Bezahlung des Kaufpreises in unserem Eigentum.

Für sämtliche Streitigkeiten aus oder über den Kaufvertrag ist ausschließlich deutsches Recht anzuwenden. Die Anwendung des Übereinkommens der Vereinten Nationen über Verträge im internationalen Warenaustausch wird einvernehmlich ausgeschlossen. Der ausschließliche Gerichtsstand ist Hamburg.

×

🔍 Vu moins cher ?

Vous avez trouvé cet article moins cher ailleurs ? Indiquez-nous le prix – nous vérifierons et vous répondrons rapidement !

Veuillez indiquer le lien complet vers le produit